지2 만점자가 말아주는 260620, 261120 해파 킬러와 얻어갈 수 있는 스킬 총정리
게시글 주소: https://orbi.kr/00078148855
![]()
차례
1. 소개
2. 개요
3. 실전 개념
4. 기출에 적용
지구과학 2를 선택하지 않은 분들도 칼럼 읽듯이 읽으실 수 있습니다 ㅎㅎㅎ
1. 소개
안녕하십니까, 오르비 수만휘 등등 활동하는 지2샘입니다.
소개는 많이 하면 질리니 간략하게 줄이겠습니다.
26수능 지구과학 2 응시, 11분컷 만점자(10분 40초쯤 한바퀴)
25년 2월 지구과학 2 노베이스에서 현강, 재종학원 등 없이 독학으로 만점 끌어올림
현재 대치동에서 지구과학 2 과목만으로 3명 대면과외 / 1명 화상과외중
김과외 '지2전국1등' 활동중
수만휘 '지2샘' 활동중
오르비 '지2황제' 활동중
오르비독스 '지투의정석' 활동중
ㄴ 26수능 성적표
2. 개요
오늘의 주제는 26학년도 평가원 지구과학 2의 난이도를 한층 끌어올린 고난도 해파 킬러 문항입니다.(오답률 1위는 덤)
이 문항들은 해파의 자잘한 개념에서 유도되는 굵직한 스킬을 필수적으로 요구하며, 자료 해석에 더해 개념의 응용을 어디까지 보여줄 수 있는지 체크하는 심도 있는 킬러였습니다. 과탐다운 과탐으로 유명한 지구과학 2 과목에서 정말 멋진 문제가 나왔다고 개인적으로 생각합니다.
3. 실전 개념
우선 가장 기초적인 개념부터 알아봅시다.
해수면 위에서 부는 바람에 의해 발생하거나, 해저 지진 등에 의해 발생하는 물 입자의 파동을 해파라고 하고, 해파에 의해 물 입자가 제자리에서 한 바퀴 (타)원운동하는 시간을 주기라고 합니다. 파장은 해파의 마루와 마루(골과 골) 사이 거리고요. 이때, 해파의 속력은 주기분의 파장으로 설명되며, 물 입자는 해파에 의해 저 멀리 이동하지 않습니다.
해파의 분류를 알아봅시다. 해파는 파장과 수심의 대소에 따라 천해파/천이파/심해파로 분류할 수 있습니다.
천해파는 수심이 파장의 1/20보다 얕은 해역에서 진행하는 해파이고, 물 입자는 해저면의 영향을 받아 타원 궤적을 그리며 운동합니다. 이때 수심이 깊어질수록 타원 모양이 더 납작해지고, 해저면 근처에서는 물 입자가 수평 왕복 운동을 합니다. 천해파의 속도를 v, 천해파가 진행하는 해역의 수심을 h, 중력 가속도를 g라고 하면 천해파의 속도 v에 대해

가 성립합니다.
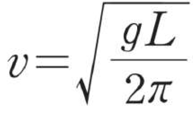
심해파는 수심이 파장의 1/2보다 깊은 해역에서 진행하는 해파이고, 물 입자는 해저면의 영향 없이 원 궤적을 그리며 운동합니다. 이때 수심이 깊어질수록 원의 크기가 작아지며, 수심의 절반 지점에서 물 입자는 거의 운동하지 않습니다. 심해파의 속도를 v, 심해파의 파장을 L이라고 하면 심해파의 속도 v에 대해

가 성립합니다.
천이파는 심해파와 천해파의 중간에 해당하며 두 해파의 성질을 모두 가지고 있습니다.
이제 실전 개념을 알아봅시다.
심해파 스킬입니다. 유도 과정은 아래와 같습니다.

위에 따라 심해파의 경우 주기와 파장, 속도 중 어느 하나라도 결정된다면, 심해파 주기, 파속과 파장의 제곱근에 대해 비례관계가 성립함을(심해파의 물리량이 전부 결정됨을) 알 수 있습니다.
천해파 스킬입니다. 유도 과정은 아래와 같습니다.

위에 따라 천해파의 경우 주기가 일정하면 파속은 수심의 제곱근, 그리고 파장에 비례한다는 것을 알 수 있습니다.
같은 수심에서의 해파 속도 스킬입니다. 유도는 해파 별 정의에 따라 수심값과 파장값 부등식 세우면 뚝딱 나오니 생략합니다.
같은 수심에서의 파속은 천해파 > 천이파 > 심해파 순으로 큽니다.
4. 기출에 적용
앞서 배웠던 스킬들을 260620, 261120 풀이에 응용해 봅시다. 알려드린 스킬만 가지고 있으면 정말 쉬운 문제입니다.

ㄱ. (O) 지점 (가)에서 파속은 A가 B보다 크므로, 같은 수심에서의 파속 스킬에 의해 A가 천해파, B가 심해파입니다. C는 자동으로 심해파가 되고요.
ㄴ. (O) 심해파 파속 공식을 파장에 대해 정리하면 L = 2pi*(v^2) /g 입니다. 따라서 C의 파장은 5pi이고, 지점 (나)의 수심인 10m는 C의 파장의 절반값보다 크므로 C는 지점 (나)에서도 심해파입니다. 심해파가 진행할 때는 심해파 상태가 유지되는 한 파장이 일정하므로(파장 불변=파속 불변) 옳은 선지겠습니다.
ㄷ. (O) (가)의 수심은 A의 파속에 의해 160m입니다. 또한 지점 (나)에서 심해파인 C의 속도는 지점 (가)에서와 같은 5m/s입니다. 한편 지점 (가)에서의 B의 파장을 구하면 80pi이고, 지점 (나)에서 B는 천해파입니다. 따라서 10 < 15가 되므로 맞는 선지입니다.

우선 표 해석부터 해봅시다. 람다2는 2h2보다 작으므로 (나)에서 A가 심해파여야 합니다. 한편, (가)에서 A와 B 속도비가 1:8이고, 주기 비가 1:8이므로 심해파 스킬에 의해 둘 중 하나가 심해파이면 나머지도 심해파임을 추론할 수 있습니다.(천해파에서도 주기 비는 성립할 수 있기 때문에 여지를 남겨뒀습니다.) 하지만 두 해파가 모두 천해파일 수 없습니다. 같은 수심에서 파속이 다르기 때문이죠. 따라서 결과적으로 (가) 해역에서 A와 B 모두 심해파입니다. 그러므로 (나)에서 B는 천해파였겠네요.
ㄱ. (O) A가 (가)와 (나)에서 모두 심해파이므로 주기가 같을 때 파장의 제곱근이 같아야 하므로 람다1과 2는 같습니다.
ㄴ. (X) (가)의 B에서 h1 > 32람다1이고, 람다1=람다2이며 (나)의 B에서 4/5람다2 > h2이므로 부등호 방향이 반대여야 합니다.
ㄷ. (X) B는 (가)에서 심해파였기 때문에 해수면의 물 입자는 원운동을 해야 합니다.
다 알고 나니 오답률 1위 문항도 참 쉽죠?
투과목 꿀통 야르
재미있으셨다면 제가 만든 기출문제집, N제에도 관심 부탁드립니다 ㅎㅎㅎㅎㅎㅎ
저는 다음 25학년도 좌표계 킬러 글로 돌아와 보겠습니다. 그럼 이만.
0 XDK (+0)
유익한 글을 읽었다면 작성자에게 XDK를 선물하세요.
-
이 의사 돌팔이임?? 0 0
사실 감기 걸린건아니고 뭐 내일부터 비와서 날씨 추워진다길 안아파도 아파질까봐 미리...
-
ㅅㅂ
-
만점 ㅋㅋㅋㅋㅋㅋㅋ 17문장 암기 ㅋㅋㅋ
-
수행을 벼락치기한게 0 0
준비한거보다 잘되었음 ㅋㅋㅋㅋ
-
수학 n제 ㅊㅊ점 0 0
스블 거의 끝나서 n제 하려고 하는데 뭐할지 ㅊㅊ점요 3모 확통 수학 20 21...
-
수학을 공부하면서 느낀건 0 0
잘 안오르는 이유중 하나로 발문 보고 활용할만한 조건을 뽑아낼줄 알아도 그걸...
-
독서 독학 가능할까요 0 0
국영수 다 그냥 공부해본 적 없는 노베이고 이제야 공부를 시작한 현역입니다…!...
-
올해의 목표 0 0
이만희 이 세글자를 오르비 실검에 올리기 -금쪽이만희 1세-
-
메가패스 양도 받고 싶은데 0 0
아직은 올라온게 거의 없네요... 혹시 저한테 파실 분 있으시면 쪽지 부탁드림다ㅠㅠ..
-
뭐지 0 0
오르비 수학과 지망하는 분들 비율이 올라간느낌
-
그대 떠나가는 그 순간도 0 0
나를 걱정했었나요
-
이거들으바 0 0
-
김승리 케이비에스만 하고있어요
-
상불비 0 0
ㄹㅇ 맛잇음
-
N제 이렇게 풀까 0 0
기출 -> 12번 이상 문제 기출로 2회독 -> 킬러 기출로 3회독 -> 설맞이s2...
-
대학은 나하고 멀어지고 있네..
-
퀄 ㅇㄸ?
-
이젠 오늘은 뭐 풀지 막 기대가된당.. 막상 풀면 지문은 이해안되고 머리...
-
오늘의 날씨 0 0
비가 몰아치는 날이면 윽박지르던 선생 뛰어가던 아이 할 것 없이 교문 앞에서...
-
난이도가 어떤편인가요? 대체적으로
첫번째 댓글의 주인공이 되어보세요.